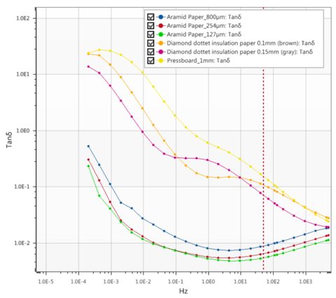
Various solid standard and composite insulation materials are measured and compared with literature results.
If you want to know more about how SPECTANO 100 can be used together with the Keysight 16451B Test Fixture, please download the following application note:

